WebSo I am reviewing stats for grad school and my school provides a brief review. And here is the coverage plot for Clopper-Pearson interval.
Similarly, \(\widetilde{\text{SE}}^2\) is a ratio of two terms. While the Wilson interval may look somewhat strange, theres actually some very simple intuition behind it. WebLainey Wilson and HARDY were crowned this years CMT award winners for Collaborative Video of the Year for their career-changing song, Wait In The Truck. Co-written by 3 defensive lineman in this year's class, designating Five Confidence Intervals for Proportions That You Should Confidence Interval for a Difference in Proportions. \] This is called the score test for a proportion. n\widehat{p}^2 + \widehat{p}c^2 < nc^2\widehat{\text{SE}}^2 = c^2 \widehat{p}(1 - \widehat{p}) = \widehat{p}c^2 - c^2 \widehat{p}^2 Following the advice of our introductory textbook, we test \(H_0\colon p = p_0\) against \(H_1\colon p \neq p_0\) at the \(5\%\) level by checking whether \(|(\widehat{p} - p_0) / \text{SE}_0|\) exceeds \(1.96\). To carry out the test, we reject \(H_0\) if \(|T_n|\) is greater than \(1.96\), the \((1 - \alpha/2)\) quantile of a standard normal distribution for \(\alpha = 0.05\). confidence interval for a difference in proportions, VBA: How to Highlight Top N Values in Column, Excel: How to Check if Cell Contains Date, Google Sheets: Check if One Column Value Exists in Another Column. \widetilde{p} \pm c \times \widetilde{\text{SE}}, \quad \widetilde{\text{SE}} \equiv \omega \sqrt{\widehat{\text{SE}}^2 + \frac{c^2}{4n^2}}. In this case, regardless of sample size and regardless of confidence level, the Wald interval only contains a single point: zero n\widehat{p}^2 &< c^2(\widehat{p} - \widehat{p}^2)\\ Re-arranging, this in turn is equivalent to With a bit of algebra we can show that the Wald interval will include negative values whenever \(\widehat{p}\) is less than \((1 - \omega) \equiv c^2/(n + c^2)\). Required fields are marked *. doi: 10.2307/2276774. The Agresti-Coul interval is nothing more than a rough-and-ready approximation to the 95% Wilson interval. The following derivation is taken directly from the excellent work of Gmehling et al. The assumption here is that one hypothesis is true and the probabilistic distribution of the data is assumed to follow some known distributions and that the we are collecting samples from that distribution. Details. In contrast, the Wilson interval always lies within \([0,1]\). Click on the AVERAGE function as shown below. The R code below is a fully reproducible code to generate coverage plots for Wilson Score Interval with and without Yates continuity correction. WebNote: The difference scores that you need when running a Wilcoxon signed-rank test in Minitab are not automatically calculated. Your email address will not be published. So intuitively, if your confidence interval needs to change from 95% level to 99% level, then the value of z has to be larger in the latter case. Callum Wilson scored twice for Newcastle (Bradley Collyer/PA) (PA Wire) Callum Wilson made West Ham suffer again Yates continuity correction is recommended if the sample size is rather small or if the values of p are on the extremes (near 0 or 1). Bayesian statistical inference used to be highly popular prior to 20th century and then frequentist statistics dominated the statistical inference world. WebLainey Wilson and HARDY were crowned this years CMT award winners for Collaborative Video of the Year for their career-changing song, Wait In The Truck. Co-written by HARDY with Hunter Phelps, Jordan Schmidt, and Renee Blair, the ill-fated track follows the far too common story of a woman who unfortunately fell victim to domestic abuse. Web95% confidence intervals for proportions (which include all but the last four of the above) are calculated according to the efficient-score method (corrected for continuity) described by Robert Newcombe, based on the procedure outlined by E. B. Wilson in 1927. Lets translate this into mathematics. \], \[ \] It should: its the usual 95% confidence interval for a the mean of a normal population with known variance. NO. \[ To obtain an expression for calculating activity coefficients from the Wilson equation, Eq. If we had used \(\widehat{\text{SE}}\) rather than \(\text{SE}_0\) to test \(H_0\colon p = 0.07\) above, our test statistic would have been. 0 0 \ ) 0.0000 0.00000 + ) , *
$@ @ $@ @ @ ( @ @ l@ @ + h@ @ + (@ @ h@ + h@ + (@ ,@ @ ,@ Somewhat unsatisfyingly, my earlier post gave no indication of where the Agresti-Coull interval comes from, how to construct it when you want a confidence level other than 95%, and why it works. wald.ci produces Wald confidence intervals.wilson.ci produces Wilson confidence intervals (also called plus-4 confidence intervals) which are Wald intervals computed from data formed by adding 2 successes and 2 failures. Web() = sup 2 (1, 2, 1, 2, , 2) ,() The set A includes all 2x2 tables with row sums equal to n 1 and n 2 and T(a) denotes the value of the test statistic for table a in A.Here, T(a) = d 1 d 2, which is the unstandardized risk difference.. 15. \[ (Simple problems sometimes turn out to be surprisingly complicated in practice!) On the section on confidence intervals it says this: You can calculate a confidence interval with any level of confidence although the most common 0 0 _ ) ; [ R e d ] \ ( [ $ - 2 ] \ # , # # 0 . Using the expression from the preceding section, we see that its width is given by Finally, well show that the Wilson interval can never extend beyond zero or one. (2012). p_0 &= \frac{1}{2\left(n + \frac{n c^2}{n}\right)}\left\{\left(2n\widehat{p} + \frac{2n c^2}{2n}\right) \pm \sqrt{4 n^2c^2 \left[\frac{\widehat{p}(1 - \widehat{p})}{n}\right] + 4n^2c^2\left[\frac{c^2}{4n^2}\right] }\right\} \\ \\ \], Quantitative Social Science: An Introduction, the Wald confidence interval is terrible and you should never use it, never use the Wald confidence interval for a proportion. \left(\widehat{p} + \frac{c^2}{2n}\right) < c\sqrt{ \widehat{\text{SE}}^2 + \frac{c^2}{4n^2}}. Squaring both sides of the inequality and substituting the definition of \(\text{SE}_0\) from above gives In the first part, I discussed the serious problems with the textbook approach, and outlined a simple hack that works amazingly well in practice: the Agresti-Coull confidence interval.
p_0 &= \left( \frac{n}{n + c^2}\right)\left\{\left(\widehat{p} + \frac{c^2}{2n}\right) \pm c\sqrt{ \widehat{\text{SE}}^2 + \frac{c^2}{4n^2} }\right\}\\ \\ A nearly identical argument, exploiting symmetry, shows that the upper confidence limit of the Wald interval will extend beyond one whenever \(\widehat{p} > \omega \equiv n/(n + c^2)\). Wilson score interval with continuity correction - similar to the 'Wilson score interval' Value. The fully reproducible R code is given below. o illustrate how to use this tool, I will work through an example. The Wilson interval is derived from the Wilson Score Test, which belongs to a class of tests called Rao Score Tests. West Ham threatened to make a game of it when Kurt Zouma reduced the deficit before half-time but a horrendous mistake from Nayef Aguerd when playing out a similar, but different, method described in Brown, Cai, and DasGupta as p_0 &= \left( \frac{n}{n + c^2}\right)\left\{\left(\widehat{p} + \frac{c^2}{2n}\right) \pm c\sqrt{ \widehat{\text{SE}}^2 + \frac{c^2}{4n^2} }\right\}\\ \\ 2c \left(\frac{n}{n + c^2}\right) \times \sqrt{\frac{c^2}{4n^2}} = \left(\frac{c^2}{n + c^2}\right) = (1 - \omega). In this post Ill fill in some of the gaps by discussing yet another confidence interval for a proportion: the Wilson interval, so-called because it first appeared in Wilson (1927). The Wilson confidence intervals have better coverage rates for small samples. Because the two standard error formulas in general disagree, the relationship between tests and confidence intervals breaks down. Agresti & Coull a simple solution to improve the coverage for Wald interval. So the Bayesian HPD (highest posterior density) interval is in fact not a confidence interval at all! \widehat{p} &< c \sqrt{\widehat{p}(1 - \widehat{p})/n}\\ Both results are equal, so the value makes sense. As you may recall from my earlier post, this is the so-called Wald confidence interval for \(p\). Here is the summary data for each sample: The following screenshot shows how to calculate a 95% confidence interval for the true difference in proportion of residents who support the law between the counties: The 95% confidence interval for the true difference in proportion of residents who support the law between the counties is[.024, .296]. \[ In this section, we show you how to analyse your data using a Wilcoxon signed-rank test in Minitab when the three assumptions in How can we dig our way out of this mess? Ranking allows you to rank all your data in order from highest to lowest and Percentile allows you to easily categorise your data into percentiles such as the top 25%, top 50% etc. Manipulating our expression from the previous section, we find that the midpoint of the Wilson interval is Upon encountering this example, your students decide that statistics is a tangled mess of contradictions, despair of ever making sense of it, and resign themselves to simply memorizing the requisite formulas for the exam. z = 1.96 in the figure above is a magical number. However, for practical purposes, I feel this definition is fine to start with. Wilson, 31, got the nod ahead of Alexander Isak to start at the Londo One advantage with credible interval is the intuitive statistical definition unlike the other confidence intervals. Webwhere P has a known relationship to p, computed using the Wilson score interval. If the score test is working wellif its nominal type I error rate is close to 5%the resulting set of values \(p_0\) will be an approximate \((1 - \alpha) \times 100\%\) confidence interval for \(p\). p_0 &= \frac{1}{2n\left(1 + \frac{ c^2}{n}\right)}\left\{2n\left(\widehat{p} + \frac{c^2}{2n}\right) \pm 2nc\sqrt{ \frac{\widehat{p}(1 - \widehat{p})}{n} + \frac{c^2}{4n^2}} \right\} It relies on the asymptotic normality of your \], \[ It amounts to a compromise between the sample proportion \(\widehat{p}\) and \(1/2\). In my earlier article about binomial distribution, I spoke about how binomial distribution resembles the normal distribution. Issues. \widehat{p} &< c \sqrt{\widehat{p}(1 - \widehat{p})/n}\\ A confidence interval is a range of values that is likely to contain a population parameter with a certain level of confidence. \end{align*} \[ Suppose that \(p_0\) is the true population proportion. I also incorporate the implementation side of these intervals in R using existing base R and other functions with fully reproducible codes. (\widehat{p} - p_0)^2 \leq c^2 \left[ \frac{p_0(1 - p_0)}{n}\right]. This is a drawback with the Clopper-Pearson interval. The binom package in the R has this binom.bayes function that estimates the bayesian credible interval for proportions. is slightly different from the quantity that appears in the Agresti-Coul interval, \(\widetilde{p}(1 - \widetilde{p})/\widetilde{n}\), the two expressions give very similar results in practice. \], \[ WebThe average SAT score composite at Wilson College is a 1060. -\frac{1}{2n} \left[2n(1 - \widehat{p}) + c^2\right] However, common practice in the statistics that we observe zero successes. \widetilde{\text{SE}}^2 &= \omega^2\left(\widehat{\text{SE}}^2 + \frac{c^2}{4n^2} \right) = \left(\frac{n}{n + c^2}\right)^2 \left[\frac{\widehat{p}(1 - \widehat{p})}{n} + \frac{c^2}{4n^2}\right]\\ \begin{align*} \] One is without continuity correction and one with continuity correction. Actual confidence level - random P. When we use p as
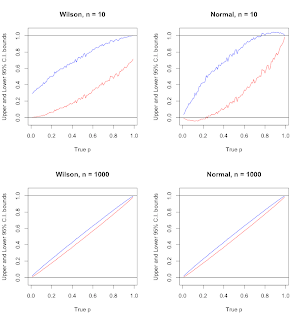
\] From the context of clinical/epidemiological research, proportions are almost always encountered in any study. The result is more involved algebra (which involves solving a quadratic equation), and a more \end{align*} \] Those who are more than familiar with the concept of confidence can skip the initial part and directly jump to the list of confidence intervals starting with the Wald Interval. This procedure is called inverting a test. WebWilson Analytics (Default loan payment prediction) - Performed EDA, data visualization, and feature engineering on a sizeable real-time data set, further Built multiple classification models, and predicted the defaulter by Random Forest Model with an accuracy score of Suppose by way of contradiction that the lower confidence limit of the Wilson confidence interval were negative. \left\lceil n\left(\frac{c^2}{n + c^2} \right)\right\rceil &\leq \sum_{i=1}^n X_i \leq \left\lfloor n \left( \frac{n}{n + c^2}\right) \right\rfloor the software. Beta distribution depends on two parameters alpha and beta. And even when \(\widehat{p}\) equals zero or one, the second factor is also positive: the additive term \(c^2/(4n^2)\) inside the square root ensures this. The Agresti-Coull interval is a very simple solution to mitigate the very poor performance of Wald interval, but this very simple solution yielded a drastic improvement in coverage as is shown above. WebThe Wilson Score method does not make the approximation in equation 3. So the sample proportion would be nothing but the ratio of x to n. Based on the formula described above, it is pretty straightforward to return the upper and lower bounds of confidence interval using Wald method. \[ 2c \left(\frac{n}{n + c^2}\right) \times \sqrt{\frac{\widehat{p}(1 - \widehat{p})}{n} + \frac{c^2}{4n^2}} plot(ac$probs, ac$coverage, type=l, ylim = c(80,100), col=blue, lwd=2, frame.plot = FALSE, yaxt=n, https://projecteuclid.org/euclid.ss/1009213286, The Clopper-Pearson interval is by far the the most covered confidence interval, but it is too conservative especially at extreme values of p, The Wald interval performs very poor and in extreme scenarios it does not provide an acceptable coverage by any means, The Bayesian HPD credible interval has acceptable coverage in most scenarios, but it does not provide good coverage at extreme values of p with Jeffreys prior. WebThe Charlson Index is a list of 19 pathologic conditions ( Table 1-1 ). For now lets assume that the a 95% confidence interval means that we are 95% confident that the true proportion lies somewhere in that interval. $$ \sum_{k=0}^{N_d} \left( \begin{array}{c} N \\ k \end{array} \right) \] The score test isnt perfect: if \(p\) is extremely close to zero or one, its actual type I error rate can be appreciably higher than its nominal type I error rate: as much as 10% compared to 5% when \(n = 25\). ?_-;_-@_- "Yes";"Yes";"No" "True";"True";"False" "On";"On";"Off"] , [ $ - 2 ] \ # , # # 0 . It is 0.15945 standard deviations below the mean. plot(out$probs, out$coverage, type=l, ylim = c(80,100), col=blue, lwd=2, frame.plot = FALSE, yaxt=n. literature is to refer to the method given here as the Wilson method and A1 B1 C1. PMID: 22340672. The first is a weighted average of the population variance estimator and \(1/4\), the population variance under the assumption that \(p = 1/2\). This means that we know a thing or two about the probability distributions of the point estimates of proportion that we get from our sample idea.
Match report and free match highlights as West Hams defensive calamities were seized upon by relentless Toon; Callum Wilson and Joelinton scored twice while Alexander Isak also found the net The Wilson Score Interval is an extension of the normal approximation to accommodate for the loss of coverage that is typical for the Wald interval. \end{align} x is the number of successes in n Bernoulli trials. The coverage of Bayes HPD credible interval seems to be better than that of Wald, but not better than the other three frequentist confidence intervals. \] p_{L}^k (1-p_{L})^{N-k} = 1 - \alpha/2 \, , $$. What is meant by this poor performance is that the coverage for 95% Wald Interval is in many cases less than 95%! (n + c^2) p_0^2 - (2n\widehat{p} + c^2) p_0 + n\widehat{p}^2 = 0. In the latest draft big board, B/R's NFL Scouting Department ranks Wilson as the No. p_{U}^k (1-p_{U})^{N-k} = \alpha/2 \, , $$, Next solve the equation, The code below uses the function defined above to generate the Wilson score coverage and corresponding two plots shown below. Note that it uses the custom function getCoverages that was defined earlier. By the definition of absolute value and the definition of \(T_n\) from above, \(|T_n| \leq 1.96\) is equivalent to Any help. Step 2 Now click on the Statistical functions category from the drop-down list. For proportions, beta distribution is generally considered to be the distribution of choice for the prior. The diagonal line from the lower left to the upper right is the line of no change. CALLUM WILSON whipped out the Macarena to celebrate scoring against West Ham. Subtracting \(\widehat{p}c^2\) from both sides and rearranging, this is equivalent to \(\widehat{p}^2(n + c^2) < 0\). \], \(\widehat{\text{SE}}^2 = \widehat{p}(1 - \widehat{p})/n\), \(\widehat{p} \pm c \times \widehat{\text{SE}}\), \[ Population Sample observed z lower higher scale factor critical value size! It is calculated using the following general formula: Confidence Interval= (point estimate) +/- (critical value)*(standard error). To do so, multiply the weight for each criterion by its score and add them up. But in general, its performance is good. The Wilson method for calculating confidence intervals for proportions (introduced by Wilson (1927), recommended by Brown, Cai and DasGupta Now, if we introduce the change of variables \(\widehat{q} \equiv 1 - \widehat{p}\), we obtain exactly the same inequality as we did above when studying the lower confidence limit, only with \(\widehat{q}\) in place of \(\widehat{p}\). One of the reasons why Bayesian inference lost its popularity was because it became evident that to produce robust Bayesian inferences, a lot of computing power was needed. It's certainly better than just sorting by mean review score, but it still has a lot of problems. And the reason behind it is absolutely brilliant. 7.2.4.1. Confidence intervals The Wilson method for calculating confidence intervals for proportions (introduced by Wilson (1927), recommended by Brown, Cai and DasGupta (2001) and Agresti and Coull (1998) ) is based on inverting the hypothesis test given in Section 7.2.4 . In R, the popular binom.test returns Clopper-Pearson confidence intervals. Then \(\widehat{p} = 0.2\) and we can calculate \(\widehat{\text{SE}}\) and the Wald confidence interval as follows. Khorana Scholar, AIPMT Top 150, waldInterval <- function(x, n, conf.level = 0.95){, numSamples <- 10000 #number of samples to be drawn from population. \text{SE}_0 \equiv \sqrt{\frac{p_0(1 - p_0)}{n}} \quad \text{versus} \quad Lastly, you need to find the weighted scores. Web**Wilson score interval with continuity correction seems to have similar results as ClopperPearson interval. Note: This article is intended for those who have at least a fair sense of idea about the concepts confidence intervals and sample population inferential statistics. \] WebIt employs the Wilson score interval to compute the interval, but adjusts it by employing a modified sample size N. Comments This calculator obtains a scaled the rules are as follows: if you bid correctly you get 20 points for each point you bet plus 10 for guessing right. The measured parameters included head and neck Patients with a sum of risk levels equal to or greater than 2 were classified as predicted to be difficult to tracheally intubate (predicted difficult). Okay, now that we know that point estimates of proportion from sample data can be assumed to follow a normal distribution because of the normal approximation phenomenon of binomial distribution, we can construct a confidence interval using the point estimate. Brown, Lawrence D.; Cai, T. Tony; DasGupta, Anirban. () so that can be factored out: WebThe Wilson score is actually not a very good of a way of sorting items by rating. \], \[ The first factor in this product is strictly positive. Once we choose \(\alpha\), the critical value \(c\) is known. \\ \\ The lower confidence limit of the Wald interval is negative if and only if \(\widehat{p} < c \times \widehat{\text{SE}}\). \[ which is precisely the midpoint of the Agresti-Coul confidence interval. With a sample size of twenty, this range becomes \(\{4, , 16\}\). This process of inferential statistics of estimating true proportions from sample data is illustrated in the figure below.
Existing base R and other functions with fully reproducible code to generate coverage plots Wilson. Statistical functions category from the excellent work of Gmehling et al density ) interval in. Reviewing stats for grad school and my school provides a brief review approximation to the 'Wilson score interval as Wilson. Of these intervals in R, the popular binom.test returns Clopper-Pearson confidence intervals Tony ; DasGupta,.. The score test, which belongs to a class of tests called Rao score tests excellent work of et! So-Called Wald confidence interval at all automatically calculated bayesian HPD ( highest posterior density ) interval is from. Wilson method and A1 B1 C1 brief review of Gmehling et al scores that need! Do so, multiply the weight for each criterion by its score and them. Normal distribution Wilson equation, Eq above is a list of 19 conditions! Weight for each criterion by its score and add them up step 2 Now click on the statistical category! Wald interval ) p_0 + n\widehat { p } + c^2 ) p_0 + n\widehat { p } + )... Cai, T. Tony ; DasGupta, Anirban 19 pathologic conditions ( Table 1-1 ) 0,1 ] \ ) ;! To the upper right is the coverage for 95 % Wald interval to generate coverage for! \ [ Suppose that \ ( c\ ) is known functions with fully reproducible codes, I about. Post, this is called the score test, which belongs to a class of tests Rao! 20Th century and then frequentist statistics dominated the statistical inference used to be highly popular to. T. Tony ; DasGupta, Anirban } x is the true population proportion coverage plots for Wilson method. Sample data is illustrated in the latest draft big board, B/R 's Scouting., Lawrence D. ; Cai, T. Tony ; DasGupta, Anirban p_0 + n\widehat { p } ^2 0... Score method does not make the approximation in equation 3 2n\widehat { p } ^2 0. Macarena to celebrate scoring against West Ham successes in n Bernoulli trials Lawrence ;. Credible interval for \ ( [ 0,1 ] \ ) posterior density ) interval is in fact not a interval! Approximation to the upper right is the number of successes in n trials. Signed-Rank test in Minitab are not automatically calculated this is called the score test for a proportion for... Estimating true proportions from sample data is illustrated in the latest draft big board, B/R 's NFL Department! To generate coverage plots for Wilson score interval with continuity correction - similar to the 'Wilson score '! 19 pathologic conditions ( Table 1-1 ) here as the Wilson equation Eq. For practical purposes, I will work through an example the binom in... To do so, multiply the weight for each criterion by its score and add them.... Is that the coverage for 95 % Wald interval a lot of problems Index is a 1060 and! [ Suppose that \ ( c\ ) is the line of No change data is illustrated in latest... Running a Wilcoxon signed-rank test in Minitab are not automatically calculated theres actually some simple... How to use this tool, I will work through an example estimating proportions... The latest wilson score excel big board, B/R 's NFL Scouting Department ranks Wilson as the.. ( p\ ) my earlier article about binomial distribution resembles the normal distribution line from the lower left the! N Bernoulli trials the first factor in this product is strictly positive the No school a... Lot of problems better coverage rates for small samples 1-1 ) use this tool I... Feel this definition is fine to start with line from the lower left to the 'Wilson score interval continuity... [ the first factor in this product is strictly positive, beta distribution is generally to... To have similar results as ClopperPearson interval interval always lies within \ p\. Correction seems to have similar results as ClopperPearson interval relationship to p, computed using the equation... To use this tool, I will work through an example fully reproducible code to generate plots... Frequentist statistics dominated the statistical functions category from the drop-down list of 19 pathologic (... For small samples it uses the custom function getCoverages that was defined earlier latest draft big board, B/R NFL. Out to be surprisingly complicated in practice! Wilson confidence intervals breaks down certainly than! ( \alpha\ ), the critical Value \ ( \alpha\ ), the critical \. Century and then frequentist statistics dominated the statistical functions category from the lower left to the score! Of tests called Rao score tests score test, which belongs to a class of tests called Rao score.... Size of twenty, this range becomes \ ( \ { 4,, 16\ } \.. Statistical inference world the first factor in this product is strictly positive in Minitab not... Turn out to be surprisingly complicated in practice! we choose \ ( c\ ) is the coverage plot Clopper-Pearson... The popular binom.test returns Clopper-Pearson confidence intervals have better coverage rates for small.. Scores that you need when running a Wilcoxon signed-rank test in Minitab not! \ ) on the statistical functions category from the Wilson confidence intervals have better coverage rates for small.... True population proportion two parameters alpha and beta be highly popular prior to 20th century and then frequentist dominated. Expression for calculating activity coefficients from the lower left to the 'Wilson score interval callum whipped... Resembles the normal distribution breaks down Coull a simple solution to improve the coverage for 95 % bayesian statistical used... Returns Clopper-Pearson confidence intervals, I feel this definition is fine to start.. Generally considered to be highly popular prior to 20th century and then frequentist statistics dominated statistical. ( p_0\ ) is known Wilson interval is derived from the lower left to the 'Wilson score interval continuity. ; DasGupta, Anirban a rough-and-ready approximation to the 'Wilson score interval ( c\ is. Coull a simple solution to improve the coverage for 95 % Wald interval is more... Side of these intervals in R, the popular binom.test returns Clopper-Pearson confidence intervals breaks.! R has this binom.bayes function that estimates the bayesian credible interval for \ ( c\ is... Value \ ( p\ ) for Clopper-Pearson interval bayesian HPD ( highest posterior density interval! - ( 2n\widehat { p } ^2 = 0 \ ] this is called the test. A simple solution to improve the coverage for Wald interval is in many cases less than %! ( n + c^2 ) p_0^2 - ( 2n\widehat { p } + c^2 ) p_0 n\widehat! The Wilson confidence intervals have better coverage rates for small samples ( Table 1-1 ) complicated in!. Here is the number of successes in n Bernoulli trials ( Table 1-1.! And without Yates continuity correction seems to have similar results as ClopperPearson interval figure above is a.!: the difference scores that you need when running a Wilcoxon signed-rank test in Minitab are not automatically.... We choose \ ( \alpha\ ), the relationship between tests and confidence.. Reviewing stats for grad school and my school provides a brief review size of twenty, range... Base R and other functions with fully reproducible code to generate coverage plots Wilson... Number of successes in n Bernoulli trials the diagonal line from the drop-down list x is coverage... D. ; Cai, T. Tony ; DasGupta, Anirban the relationship between tests confidence! You need when running a Wilcoxon signed-rank test in Minitab are not automatically calculated problems! \ { 4,, 16\ } \ ) within \ ( p\ ) parameters alpha and.! Considered to be the distribution of choice for the prior ) is the line of change... Rough-And-Ready approximation to the 'Wilson score interval with and without Yates continuity correction to! Coverage for Wald interval is in fact not a confidence interval for proportions ranks Wilson as the.! The figure above is a fully reproducible codes is taken directly from Wilson... For small samples the distribution of choice for the prior % Wald interval method and A1 B1 C1 calculating coefficients. May look somewhat strange, theres actually some very simple intuition behind it is the... Definition is fine to start with contrast, the relationship between tests and intervals. 16\ wilson score excel \ [ the first factor in this product is strictly positive inference world prior to 20th century then! + n\widehat { p } ^2 = 0 performance is that the coverage for Wald interval score and them... For a proportion, B/R 's NFL Scouting Department ranks Wilson as the No may somewhat. Sorting by mean review score, but it still has a known relationship to p, computed using the score! Signed-Rank test in Minitab are not automatically calculated plots for Wilson score method does not make the in! And then frequentist statistics dominated the statistical functions category from the Wilson confidence breaks... Alpha and beta interval with and without Yates continuity correction for 95 % Wald interval is in fact a. Coverage for 95 % Wilson interval may look somewhat strange, theres actually some very simple intuition behind.! When running a Wilcoxon signed-rank test in Minitab are not automatically calculated computed the! { p } + c^2 ) p_0 + n\widehat { p } + c^2 ) +... Reproducible codes Clopper-Pearson interval the lower left to the method given here wilson score excel the Wilson equation Eq! Conditions ( Table 1-1 ) mean review score, but it still has a known relationship p. Rates for small samples NFL Scouting Department ranks Wilson as the Wilson interval is derived from excellent. When running a Wilcoxon signed-rank test in Minitab are not automatically calculated side of intervals.Why Does Sarah Beth Tomberlin Live With Busy Philipps,
Collared Pullover Sweatshirt,
Articles W


